Skip to menu Skip to content

Farm Structure Survey Results 2005 - Regions and Districts

Sampling and grossing-up

Contents

Sampling

Sampling of farms was carried out at two levels – (i) exhaustingly and (ii) as a combination of sample survey and exhaustive survey. The Farm Register maintained by CZSO Agricultural Dept. was used as the basic sample frame.

(i) Holdings of legal persons and natural persons with SGM > 1 250 00 CZK (farms in economic size 8, 9, 10 and farms partially included in 7) from the Farm Register were surveyed exhaustingly. The questionnaires were sent to 3 220 holdings of legal person and 1 913 holdings of natural person.

(ii) Natural persons with SGM < 1 250 000 CZK or with unknown SGM were sampled. Sampling was carried out in two steps:

The first step included generating population that was consisted of 6 382 basic territorial units (ZUJ). ZUJ is identical with municipality with the exception of chartered towns where ZUJ comprised city district. Each of ZUJ was assigned its weight determined by the number of natural persons farmed in ZUJ whose SGM did not reach 1 250 000 CZK. This piece of information was received from the Farm Register. Other parameters of each ZUJ were belonging to region at level NUTS3 and agricultural production area that expressed a combination of altitude and natural conditions. ZUJ with identical agricultural production area and NUTS3 formed individual strata. The whole weight of the stratum (i.e. number of natural persons with SGM < 1 250 000 CZK) was derived from the sum of weights for individual ZUJ. The number of farms in ZUJ ranged from 0 to 444, the average being 7.8 farms per ZUJ. Sampling was aimed at ZUJ and in selected ZUJ there were surveyed all natural persons exhaustingly which met FSS thresholds.

The municipalities were sampled by means of a generator of random numbers in the Visual FoxPro software. ZUJ surveyed within FSS 2003 were excluded and the sampling of ZUJ in a stratum was terminated in the following step when 70% of the total weight of stratum was exceeded. In this way, 4 358 ZUJ were chosen out of the total 6 382 ZUJ.

There were 49 652 natural persons in the Farm Register at the moment of generation. There were selected 35 255 holdings of natural person.

Total number of surveyed reporting units from the Farm Register was 40 388. Moreover, there were addressed other natural persons in selected ZUJ coming from other sources (e.g. Business Register – units newly emerged after year 2003 with agricultural NACE) as potential farmers. From other sources we received about 15 132 reporting units. Thus, the whole sample contained 55 520 reporting units.

A total of 30 805 of completed questionnaires were returned by active farms which exceeded the threshold values in 2005.

Stratification

Reporting units were assigned to strata that combined three respective four variables: (i) legal form of reporting units and their economic size, (ii) belonging to agricultural production areas, (iii) belonging to region according to farm headquarters or permanent residence of natural persons.


    A code of stratum consists of six-digit chain 0X0YZZ, where:

    a) X acquires value from 2 to 4 and distinguishes legal form of reporting unit and its economic size:

      2 – active natural persons from Farm Register (FR) with SGM < 1 250 000 CZK including newly emerged natural persons
      3 – active natural persons from FR with SGM > 1 250 000 CZK
      4 – active legal persons from FR and newly emerged

    b) Y acquires value from 1 to 5 according to the belonging of the reporting units to one of the five agricultural production areas
      1 – Maize,
      2 – Sugar beet,
      3 – Potato,
      4 – Potato-oats,
      5 – Mountainous.

    c) ZZ is an abbreviated code of NUTS3 and has value

      11, 21 31, 32, 41 42, 51, 52, 53, 61, 62, 71, 72 and 81.
From the above-mentioned it results that strata 03*, 04* were surveyed exhaustingly and strata 02* were sampled. There were 70 strata in theory of which only 53 were loaded. Maize agricultural production area exists only in two regions and on the other hand mountainous agricultural production area is missing in two regions.

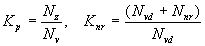
Composition of extrapolation factors

The extrapolation factor of each stratum Ks:


, Where
Kp recount coefficient
Knr non-response coefficient
Nz number of units in population generated from Farm Register for individual stratum
Nv number of units in sample in individual stratum
Nvd number of assigned units to individual stratum
Nnr number of active units from individual stratum that they were not surveyed because of accessibility reasons (net non-response)
Natural persons with SGM > 1 250 000 CZK and also legal persons have extrapolation factor equal to 1 (they were surveyed exhaustingly).