Skip to menu Skip to content

Farm Structure Survey Results

Methodology

Contents

The questionnaire was part of the Programme of Statistical Surveys for the year 2005, which was published as an annex to the Decree No. 576 in the Collection of Laws of the Czech Republic, chapter 196 from 8 November 2004. The reporting duty applied to reporting units included into the sample, i.e. to all legal persons, private farmers, entrepreneurs and natural persons, who met the FSS thresholds set for Agrocensus 2000. The thresholds were:

  • At least 1 ha of utilised agricultural land own or rented, or
  • Area of 1 500 m2 of intensive crops (orchards, vegetables, flowers), or
  • 1 000 m2 of vineyards, or
  • 300 m2 of greenhouses or hotbeds, or
  • 1 head of cattle, or
  • 2 heads of pigs, or
  • 4 heads of sheep and goats, or
  • 50 heads of poultry, or
  • 100 heads of rabbits or fur animals.

Pursuant to Act No. 89/1995 Sb., on the State Statistical Service, as amended, the reporting units were obliged to provide all requested data. Natural persons farming without certificate were obliged to fill in identification data and section ZC06 till ZC16 of the questionnaire, answering other section was optional. Data confidentiality is protected by law.

Results are completed a sum with the use of mathematical-statistical methods. Table numbering mostly corresponds with questionnaire’s section. Published data are calculated with a use of non-rounded values.

Table 1 Active entities in agriculture by legal forms, 30 September 2005

Table contains data on number of active reporting units in agriculture and its utilised agricultural land broken down by legal forms.

Table 2 Principle agricultural production of the holding

Reporting units are broken down by their principal agricultural activity according to uniform NACE classification (Industrial Classification of Economic Activities) of the reporting unit. Production that represents at least two thirds of sales resulting from agricultural activities is considered to be principal activity (principal orientation of agricultural production). Growing of hops or chicory root is not considered as separate specialised production and it is included into the code 0111. Growing of vegetables (code 01121) does not comprise potatoes, chicory, peas and beans, tubers with high content of starch or inulin and mushrooms. Growing of fruits (code 01131) includes nuts and grapevine. Growing of field crops for industrial purposes (code 01133) is meant e.g. growing of rape for bio oil production, sugar beet for ethanol production, fast growing tree species for biomass production. Breeding of small livestock (code 01251) includes also breeding of rabbits, nutrias, snails, bees and honey production, breeding of silkworm moth, earthworm, pigeons, pheasants, quails, aquatic reptiles and frogs. Breeding of fur animals (code 01252) includes also production of pelt.

Table 3 Workers worked between October 2004 and September 2005: by age groups

Data on labour force included in the tables cover period of 1 October 2004 to 30 September 2005. Natural and legal persons filled in data on labour force separately in several section of questionnaire. Final tables originated from respective section of questionnaire.

According to EU methodology, all employed persons and family members aged 15+ and non-family workers paid by agricultural holding and who carried out agricultural work regularly between October 2004 and September 2005 are included into labour force of the holding of natural persons.

They are:

  • The holder’s family members without any contract of employment with the farm
  • The holder’s family members with a contract of employment with the farm
  • Other workers in the farm not related to the holder’s family with a contract of employment with the farm


The holder’s family members are the spouse and children, the holder’s parents, the spouse’s parents, relatives obtained by entry into marriage or adoption, brothers and sisters of the holder and of the holder’s spouse. If they carry out agricultural work, enter these persons in the section even if they do not live in the household with the holder.

Holdings of legal persons supplied data for their employed persons in major occupation, for both their employees and working holders, whose work in the holding is their only (main) occupation.

Seasonal workers, surveyed in both type of holdings, are workers employed irregularly, working at work peaks or in another enterprise in addition to their major occupation. Conversion of the work of seasonal employees into days worked: total hours worked by seasonal employees divided by 8 (full working hours per day under the law).

Workers employed on farms are broken down by age groups regardless of workload. The holder’s family members are included regardless of they are employed or not.

Table 4 Workers: by hours worked between October 2004 and September 2005

Data on workers are broken down by number of hours worked between October 2004 and September 2005. The basis for the annual availability of working hours is set as 1 800 hours and is based on the number of working days with 8 working hours a day minus minimum statutory claim for holiday and minus the average number of hours not worked for incapacity for work. This number corresponds to full-time jobs.

Table 5 Workers, AWU

Data in table expressed agricultural labour input after the conversion of workers divided into category according to number of hours worked between October 2004 and September 2005. The basis for the annual availability of working hours is set as 1 800 hours and is based on the number of working days with 8 working hours a day minus minimum statutory claim for holiday and minus the average number of hours not worked for incapacity for work.

Data came from previous table multiplying number of workers in category by respective coefficient of the category. Category under 450 hours worked – 0,125; 450 till 899 – 0,375; 900 till 1 349 – 0,625; 1 350 till 1 799 – 0,875; 1 800 and more hours worked – 1.

Table 6 Utilised agricultural area, ha

Table contains data on the area of utilised agricultural land, of which arable land, in hectares rounded off to two decimal places. Pursuant to Cadastral Act No. 265/1992 Sb. as last amended, the ownership of real estate is recorded by the entry of the ownership right in the land register or in a different, corroborative way (a purchase agreement or a deed of gift, including motion to enter the record of the title of real estate in the land register, or acknowledgement of the acquisition of inheritance, or the Land Office’s decision on restitution procedure according to Land Act No 229/1991 Sb.). Any area of land that the holding provides to/receives from another holder on the basis of a contract in writing or by word according to pre-set conditions is considered land rented to/from others.

Agricultural land is the sum of plots of land utilised for the agricultural production process and includes: arable lands, hop yards, vineyards, plantations, permanent grassland and meadows, and other permanent crops.

Arable land includes plots of land utilised to grow agricultural crops in cropping and also includes land temporarily covered with grass or with multi-annual fodder crops, areas under glass/plastic foil and hotbeds. Fallow land set aside for regeneration for one year as a rule is also counted in. The fallow land can be free of any crops, can have natural vegetation, or can be sown only for the purpose of green manure. It is part of a crop rotation system and, therefore, is considered to be utilised agricultural land.

Unutilised agricultural land refers to areas which used to be employed as agricultural land but is not farmed any more for a long time for economic, social or other reasons (arable land is not included in any crop rotation system).

Table 7 Fruit trees (bushes), area of orchards

Number of fruit trees or bushes included in the table is broken down by individual species, i.e. intensive, new planted and also old trees. Total number of trees (bushes) including trees in the gardens and yards, balks, along the road etc. is contained in column 1 of the table. Orchards with regularly treatment and production determined for market are considered to be intensive.

Area of utilised orchards from table 12 there is worked out in detail by individual fruit species.

Table 8 Areas under cover, m2

Table is designed for data on individual kinds of area under cover broken down by use.

Table 9 Special modes of farming, set-aside land

Pursuant to Act No. 114/1992 Sb. on the Protection of Nature and Landscape, especially protected areas include national parks, protected landscape areas, national nature reserves and national monuments.

Pursuant to Act No. 254/2001 Sb., land under special mode of farming, stipulated due to water protection, includes zones of the protection of the yield and quality (incl. health aspects) groundwater and surface water resources designed for drinking water supplies.

Less favoured areas are listed in the annex to Government Regulation No. 241/2004 Sb., on the Conditions for the Implementation of Assistance to Less Favoured Areas and Areas with Environmental Limits.

Area of arable land turned into permanent grassland is classified as land referring to setting land aside with entitlement to subsidies pursuant to Government Regulation No. 242/2004 Sb., on the Conditions for the Implementation of Measures to Support the Development of Non-wood production Functions of the Forest, which Consist in the Protection of Environment Components (on the Implementation of Agro-environmental Measures for short).

Area of agricultural land afforested and area of agricultural land with fast-growing tree species refer to setting agricultural land aside with entitlement to subsidies pursuant to Government Regulation No. 308/2004 Sb., on the Setting of Certain Conditions for the Providing of Subsidies on the Afforestation of Agricultural Land and the Establishment of Stands of Fast Growing Tree Species on Arable Land, Designed for the Production of Energy.

There is also included area of agricultural land with herbs for energy use, e.g. Sorrel (Rumex OK2 Uteuša).

Table 10 Organic farming and its extent

Organic farming is a type of agricultural farming characterized by saving natural resources and by limits or bans imposed on the application of substances or methods that burden the environment. The breeding of animals is carried out in compliance with ethological requirements, the application of veterinary medicaments is controlled and considerate processing procedures are used.

A farmer/holding applies organic farming provided that it is registered or under conversion to organic farming and if he/it abides by Organic Farming Act No. 242/2000 Sb., as last amended, and Council Regulation (EEC) No. 2092/91 of 24 June 1991 on organic production of agricultural products and indications referring thereto on agricultural products and foodstuffs. The application can be submitted for crop growing only, or for both crop growing and livestock breeding, or for livestock breeding only, providing it has already been decided on the crop growing registration.

An eco-farm is a closed economic unit including land, farm buildings, equipment for operation and possibly livestock used for organic farming.

Conversion period refers to a transient period in which the reporting unit’s agricultural farming is transformed into organic farming. It begins on the day the application is received by the Ministry of Agriculture of the CR and ends on the day the Ministry of Agriculture issues its decision on the registration of the applicant.

Number of livestock breeding (cattle, pig, poultry breeding) is calculated from all livestock breeding on the farm, i.e. as well from conventional livestock breeding.

Table 12 Land use

Data on areas under agricultural crops grown as a main crop in the reference year are reported in the table. These areas under crops include arable areas under crops in particular, but they also include areas under crops in plantations and market gardens as well in permanent grassland ploughed temporarily. Areas under successive secondary crops are reported at the end of the section.

Open field production refers to growing vegetables (strawberries) in the framework of the agricultural crop rotation system.

Market gardening production refers to growing vegetables (strawberries) in the framework of the garden crops rotation system. The areas used in a given year for growing vegetables shall only be reported once, irrespective of the number of harvests.

Other crops on arable land include area of arable land with herbs for energy use (area of Sorrel).

Kitchen gardens are plots of land where vegetables, flowers and other garden crops are grown permanently, usually for own consumption, as well as plots of land uninterruptedly planted with fruit trees or fruit bushes up to an area of 0,25 ha; as a rule, they make one unit with residential and farm buildings.

Permanent grasslands include also area of arable land turned into permanent grassland.

Other permanent crops include open-air permanent crops in particular those for planting or weaving (e.g. osiers).

Forestland total refers to areas covered with forest trees or bushes and with nurseries on forestland, not for commercial use (they actually cater for the holding’s needs). There is also included area of agricultural land afforested and area of agricultural land with fast growing tree species.

Other areas include parks, yards, roads, and parking, handling and storing areas.

Successive secondary crops include crops sown after/before a main crop and harvested in the 12-month period observed. Where more successive crops are grown, the area for each of the crops shall be reported. Kitchen gardens, crops under cover or market gardening is excluded.

Tables 13 till 16 show number of livestock that are on the day of survey in the direct possession or management of the holding. These animals are not necessarily the property of the holder. There are also included animals stabled for other people (e.g. horses).

Table 13 Cattle, 30 September 2005

Young bulls and heifers under 1 year include female (male) bovine animals under one year old, including calves.

Heifers for production and breeding over 1 to 2 years old includes female bovine animals not yet calved, including. in-calf heifers.

Dairy cows are cows kept for breeding only or mainly for the production of milk for human consumption or for further processing to dairy products.

Suckler cows, cull and fattened cows are kept, due to their breed or particular properties, exclusively or only for the production of calves and whose milk is not meant for human consumption or further processing to dairy products. Count in other cull cows, too.

Table 16 Equidae and other animals, 30 September 2005

Table shows number of horses including riding and racehorses and horses used only for holder’s own family leisure purposes.

Table 17 Farm-produced natural fertilizers and storage facilities

A solid dung storage facility is only a consolidated dung heap/hole on an impervious surface, provided with a barrier that prevents liquid from outflowing. Neither the floor area of stables with deep bedding nor field dung heaps are counted in. A storage facility for liquid manure/slurry refers to a watertight tank, open or covered, or to a lined lagoon.

Storage capacities in terms of months over which the facility can accommodate the natural fertilizers produced in the holding, without any leaks or pollution to the surroundings, broken down by type of natural fertilizers of animal origin.

Table 18 Machinery and equipment, 30 September 2005

Table includes total number of machines owned by reporting unit (including financial leasing), irrespective of their conditions and operability.

Tractors wheeled and track laying broken down by power includes only two-axle tractors and small-size tractors.

Cultivators and hoeing machines includes all types of machinery ploughing and for pre-sowing preparation of soil.

Combine harvesters and potato harvesters are machines self-propelled, tractor-drawn or tractor-mounted designed for harvesting crops, combine harvesters are used for harvesting cereals including grain maize, leguminous crops, oleaginous crops, and grass seeds.

Beet harvesters fully mechanised are machines capable of cutting off tops and harvesting tubers in one operation. Where several machines with different functions are used for split harvesting, only one machine shall be counted in.

Irrigation equipment stationary and mobile are machinery used to grow field crops (not for market gardening or crops under glass). The stationary irrigation equipment cannot be moved to another plot of land, where mobile or portable can be moved to another field.

Table 19 Agricultural services

Table presents numbers of reporting units by the type of agricultural services that the reporting unit hires or provides on the basis of contract.

Services in animal production include herd testing, castrating, splitting of poultry by sex and associated activities, and grazing animals, cleaning of stable areas, artificial insemination.

Table 20 Non-agricultural activities for rural development

Non-agricultural activities for rural development include all gainful activities that do not comprise any farm work and have an economic benefit for the reporting unit. Activities carried out for the needs of the farm only are not counted in.

Production of electricity from renewable sources is entered if the electricity is produced for market in technical units (kJ). Electricity produced for own consumption or sale of energy producing materials (wood, straw) for the production of electricity is excluded.

Trading activity includes direct sale to customers of own agricultural products in own outlet or directly from the process.

Other non-agricultural activity includes e.g. contractual work (clearing of snow, cleaning of municipalities, environmental protection, etc.) carried out by the reporting unit.

Table 21 Processing of own products, provision of services

Table includes data on quantities of agricultural products of own production (not final products made of them), processed (e.g. to meat products, dairy products, peeled potatoes of large consumers, chips, marmalades, fruit juices, wine, feeding stuff) in the reference period by agricultural primary producers in their own production capacities.

Providing service by the reporting unit to external customers is measured by financial benefits from services (sales).

Table 22 Own consumption of agricultural products in the household (farm)

Includes own-production products consumed in the reference period as foodstuffs in the households of holdings of agricultural producers and own-production products of the reporting unit given to employees as wages in kind.

Table 23 Supplementary indicators of water sources and irrigation

Table comprises data on supplementary indicators of water sources and irrigation - water source for the holding, wastewater disposal, irrigable area, irrigated area, source of irrigation water and irrigation method employed.

Wastewater disposal applies to wastewater from farm buildings and not from the holder’s household. Buildings designed for crop production can be exceptionally without wastewater.

Irrigable area is area that can be irrigated.

Irrigated area is area that was irrigated in the reference period.

Sampling and grossing-up

Sampling

Sampling of farms was carried out at two levels – (i) exhaustingly and (ii) as a combination of sample survey and exhaustive survey. The Farm Register maintained by CZSO Agricultural Dept. was used as the basic sample frame.

(i) Holdings of legal persons and natural persons with SGM > 1 250 00 CZK (farms in economic size 8, 9, 10 and farms partially included in 7) from the Farm Register were surveyed exhaustingly. The questionnaires were sent to 3 220 holdings of legal person and 1 913 holdings of natural person.

(ii) Natural persons with SGM < 1 250 000 CZK or with unknown SGM were sampled. Sampling was carried out in two steps:

The first step included generating population that was consisted of 6 382 basic territorial units (ZUJ). ZUJ is identical with municipality with the exception of chartered towns where ZUJ comprised city district. Each of ZUJ was assigned its weight determined by the number of natural persons farmed in ZUJ whose SGM did not reach 1 250 000 CZK. This piece of information was received from the Farm Register. Other parameters of each ZUJ were belonging to region at level NUTS3 and agricultural production area that expressed a combination of altitude and natural conditions. ZUJ with identical agricultural production area and NUTS3 formed individual strata. The whole weight of the stratum (i.e. number of natural persons with SGM < 1 250 000 CZK) was derived from the sum of weights for individual ZUJ. The number of farms in ZUJ ranged from 0 to 444, the average being 7.8 farms per ZUJ. Sampling was aimed at ZUJ and in selected ZUJ there were surveyed all natural persons exhaustingly which met FSS thresholds.

The municipalities were sampled by means of a generator of random numbers in the Visual FoxPro software. ZUJ surveyed within FSS 2003 were excluded and the sampling of ZUJ in a stratum was terminated in the following step when 70% of the total weight of stratum was exceeded. In this way, 4 358 ZUJ were chosen out of the total 6 382 ZUJ.

There were 49 652 natural persons in the Farm Register at the moment of generation. There were selected 35 255 holdings of natural person.

Total number of surveyed reporting units from the Farm Register was 40 388. Moreover, there were addressed other natural persons in selected ZUJ coming from other sources (e.g. Business Register – units newly emerged after year 2003 with agricultural NACE) as potential farmers. From other sources we received about 15 132 reporting units. Thus, the whole sample contained 55 520 reporting units.

A total of 30 805 of completed questionnaires were returned by active farms which exceeded the threshold values in 2005.

Stratification

Reporting units were assigned to strata that combined three respective four variables: (i) legal form of reporting units and their economic size, (ii) belonging to agricultural production areas, (iii) belonging to region according to farm headquarters or permanent residence of natural persons.

A code of stratum consists of six-digit chain 0X0YZZ, where:

a) X acquires value from 2 to 4 and distinguishes legal form of reporting unit and its economic size:


2 – active natural persons from Farm Register (FR) with SGM < 1 250 000 CZK including newly emerged natural persons
3 – active natural persons from FR with SGM > 1 250 000 CZK
4 – active legal persons from FR and newly emerged

b) Y acquires value from 1 to 5 according to the belonging of the reporting units to one of the five agricultural production areas


1 – Maize,
2 – Sugar beet,
3 – Potato,
4 – Potato-oats,
5 – Mountainous.

c) ZZ is an abbreviated code of NUTS3 and has value

11, 21 31, 32, 41 42, 51, 52, 53, 61, 62, 71, 72 and 81.

From the above-mentioned it results that strata 03*, 04* were surveyed exhaustingly and strata 02* were sampled. There were 70 strata in theory of which only 53 were loaded. Maize agricultural production area exists only in two regions and on the other hand mountainous agricultural production area is missing in two regions.


Composition of extrapolation factors

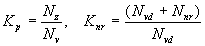
The extrapolation factor of each stratum Ks:

, Where

Kp recount coefficient

Knr non-response coefficient

Nz number of units in population generated from Farm Register for individual stratum

Nv number of units in sample in individual stratum

Nvd number of assigned units to individual stratum

Nnr number of active units from individual stratum that they were not surveyed because of accessibility reasons (net non-response)

Natural persons with SGM > 1 250 000 CZK and also legal persons have extrapolation factor equal to 1 (they were surveyed exhaustingly).