Od rozdělení federace na Českou republiku a Sloven
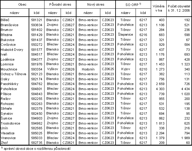
| Od rozdělení federace na Českou republiku a Slovenskou republiku od 1. ledna 1993 došlo k první významné úpravě územního uspořádání k 1. lednu 2000, kdy nabyl účinnosti ústavní zákon č. 347/1997 Sb., o vytvoření vyšších územních samosprávních celků. Tímto zákonem bylo území České republiky rozděleno na 14 krajů. Z bývalého Jihomoravského kraje 7 ze 14 okresů bylo převedeno do jiných krajů, a to okresy Jihlava, Třebíč a Žďár nad Sázavou do kraje Vysočina, okres Prostějov do Olomouckého kraje a okresy Kroměříž, Uherské Hradiště a Zlín do Zlínského kraje. Na území Jihomoravského kraje bylo k 1. lednu 2000 celkem 647 obcí, z nich 1 bylo statutární město a dalších 43 mělo statut města. Vývoj počtu obcí v okresech Jihomoravského kraje ![]() K další podstatné změně ve vymezení území Jihomoravského kraje, a tím i okresu Brno-venkov, došlo od 1. ledna 2005, kdy na základě zákona č. 387/2004 bylo 25 obcí z kraje Vysočina převedeno do Jihomoravského kraje. Jedná se o obce Borač, Borovník, Černvír, Dolní Loučky, Doubravník, Drahonín, Horní Loučky, Kaly, Katov, Křižínkov, Kuřimská Nová Ves, Kuřimské Jestřabí, Lubné, Nedvědice, Níhov, Olší, Pernštejnské Jestřabí, Rojetín, Říkonín, Skryje, Tišnovská Nová Ves, Újezd u Tišnova, Vratislávka a Žďárec (z okresu Žďár nad Sázavou do okresu Brno-venkov) a Senorady (z okresu Třebíč do okresu Brno-venkov). Základní údaje o okresech Jihomoravského kraje ![]() S účinností od 1. ledna 2007 nabyla platnosti vyhláška č. 513/2006 Sb., ze dne 3. listopadu 2006, kterou se mění vyhláška č. 564/2002 Sb., o stanovení území okresů České republiky a území obvodů hlavního města Prahy, ve znění pozdějších předpisů a týká se pouze vnitřního členění kraje. Smyslem nové vyhlášky je sladění území okresů se správními obvody obcí s rozšířenou působností. Jedná se o případy, kdy správní obvody ORP byly vytvořeny přes hranice okresů. V Jihomoravském kraji došlo ke změně hranic všech okresů kromě okresu Brno-město, změna se týkala spádovosti 26 obcí. Do okresu Brno-venkov přibylo 25 obcí, a to 14 obcí z okresu Blansko, 7 z okresu Břeclav a 4 z okresu Znojmo, do okresu Hodonín byla převedena 1 obec z okresu Vyškov. Okres Brno-venkov se tak v rámci České republiky stal okresem s největším počtem obcí (187obcí).
Od roku 2000 byly také tři obce stanoveny městem, a to v roce 2001 Lanžhot a Velké Bílovice a v roce 2005 Újezd u Brna. Přehled měst v Jihomoravském kraji k 1. 1. 2007
|









