Metodické vysvětlivky
Metodické vysvětlivky
Index světových cen průmyslových surovin a potravin ČSÚ je počítán a publikován Českým statistickým úřadem měsíčně od roku 1974. Od roku 2001 jsou publikovány cenové indexy vypočtené podle nových revidovaných indexních schémat, které vycházejí ze struktury dovozu roku 1999.
Údaje o světových cenách jsou čerpány z denních burzovních záznamů, uváděných ČTK na Internetu, z pramenů agentury Reuters, uváděných v Hospodářských novinách, z denních zpráv v Handellsblattu a z Trangasu a.s.. Cenové informace, tvořící základ pro výpočet jednoduchých indexů cen komodit (celkem 36 vybraných položek) a agregátních indexů komoditních skupin (7 hlavních agregátních skupin), jsou průměrnými cenami příslušných komodit, přičemž u světových cen tvoří tuto průměrnou cenu burzovní záznamy sledovaného zboží obchodovatelného v příslušných jakostech, množství a uzančních podmínkách.
Informace o burzovním trhu příslušné komodity, obchodních podmínkách a měnové jednotce kotace je uvedena v tabulce č.5. Tabulka č.6 uvádí srovnání indexu světových cen ČSÚ se světovými komoditními indexy Reuters a Moody‘s.
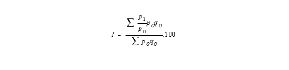
Index je počítán na základě cen za vybrané komoditní položky agregací jednoduchých indexů cen reprezentantů do úhrnu pomocí výpočetního vzorce Laspeyresova v modifikované podobě.

p1 - cena (reprezentanta) ve sledovaném období
po - cena (reprezentanta) v základním období
poqo - stálá váha dovozu v roce 1999
V rámci komplexní revize, která probíhala za jednotlivé cenové okruhy v průběhu roku 2000, byly revidovány vahové systémy a výběry cenových reprezentantů. Váhy byly stanoveny na základě realizace dovozu za rok 1999.
Současně došlo ke změně základního období, kterým u nových cenových indexů publikovaných od roku 2001 je průměr roku 1999. Jako jednotné indexní referenční období byl zaveden pro všechny cenové indexy rovněž průměr roku 2000. Index je dále počítán k základům předchozí období=100 a stejné období předchozího roku=100.
Zajištění návaznosti časových řad publikovaných do konce roku 2000, které nadále zůstávají v platnosti, a revidovaných indexů publikovaných od roku 2001, se provádí na základě koeficientů (přepočtových můstků) vypočítaných z poměru revidovaných a původních indexů za prosinec 2000 k průměru roku 1999. Přepočtené časové řady indexů za předchozí roky jsou uvedeny v podrobné publikaci “Indexy dovozních a vývozních cen a indexy světových cen za Českou republiku - Revize 2000" (kód publikace 0210-01).