Přejít k menu
Přejít k obsahu
Kontakt
Pro média
Nabídka služeb
Kalendář událostí
Katalog produktů
Krajské správy
Časté dotazy
Volná místa
EN
Zpět
Statistiky
Lidé
Obyvatelstvo
Cizinci
Senioři
Ženy a muži
Příjmy, výdaje a životní podmínky domácností
Sčítání lidu, domů a bytů
Společnost
Volby
Vzdělávání
Kultura, média, sport
Zdraví
Sociální zabezpečení
Kriminalita, soudnictví
Životní prostředí
Regiony a země
Souhrnná data o Česku
Regionální statistiky
Území, sídelní struktura
Mezinárodní data
Ekonomika
Ceny, inflace
Zahraniční obchod
HDP, národní účty
Konjunkturální průzkumy
Ekonomické subjekty
Finanční hospodaření
Průřezové podnikové statistiky
Hospodářská odvětví
Průmysl
Energetika
Stavebnictví, byty
Doprava
Cestovní ruch
Obchod
Služby
Zemědělství
Lesnictví a myslivost
Trh práce
Zaměstnanci a mzdy
Úplné náklady práce
Struktura mezd zaměstnanců
Zaměstnanost a nezaměstnanost (VŠPS)
Registrovaná nezaměstnanost a volná pracovní místa (MPSV)
Věda, inovace, digitalizace
Výzkum a vývoj
Inovace, patenty, vyspělé technologie
Digitální společnost - používání ICT
Digitální ekonomika
Databáze a aplikace
Katalog produktů
Katalog produktů - úplný
Rychlé informace - filtr katalogu
Časové řady
Otevřená data
Tiskové zprávy - filtr katalogu
Časopisy
Digitální publikace
Databáze, aplikace
DataStat - ověřovací provoz
Veřejná databáze
Databáze národních účtů
Databáze demografických údajů za obce ČR
Databáze demografických údajů za vybraná města ČR
Databáze zahraničního obchodu se zbožím
Databáze pohybu zboží přes hranice
Mapová aplikace hromadných ubytovacích zařízení
Mobilní aplikace ČSÚ
Pan Průměrný nakupuje
Ověření tazatele
Geodata
Statistický geoportál
Datový portál GIS
Dashboard hromadných ubytovacích zařízení
Registry
Registr ekonomických subjektů
Registr osob
Registr sčítacích obvodů a budov
Metodika
Klasifikace
Číselníky
Databáze metainformací
Metodiky jednotlivých statistik
Sběr dat
O ČSÚ
ČSÚ a statistický systém
Struktura a vedení úřadu
Činnost ČSÚ
Státní statistická služba ČR
Evropský statistický systém
Mezinárodní spolupráce
Kvalita a inovace
Strategie a politiky řízení kvality
Kvalita statistik
Peer review (přezkum) Národního statistického systému
Inovační projekty
Experimentální statistiky
Informace a služby pro veřejnost
Informace pro média
Služby pro veřejnost
Popularizujeme statistiku
Ocenění ČSÚ
Volná místa
Protikorupční agenda
Povinně zveřejňované informace
Úřední deska
Informace zveřejňované podle zákona 106/99 Sb., o svobodném přístupu k informacím
Informace k zákonu č. 159/2006 Sb., o střetu zájmů
Veřejné zakázky a profil zadavatele
Ochrana osobních údajů (GDPR)
Nabídka nepotřebného majetku
Hledat
Český statistický úřad
Statistiky
Regionální statistiky
Katalog produktů
Historický přehled výsledků voleb do Poslanecké sněmovny Národního shromáždění Československé republiky - Liberecký kraj - 1920 - 1935
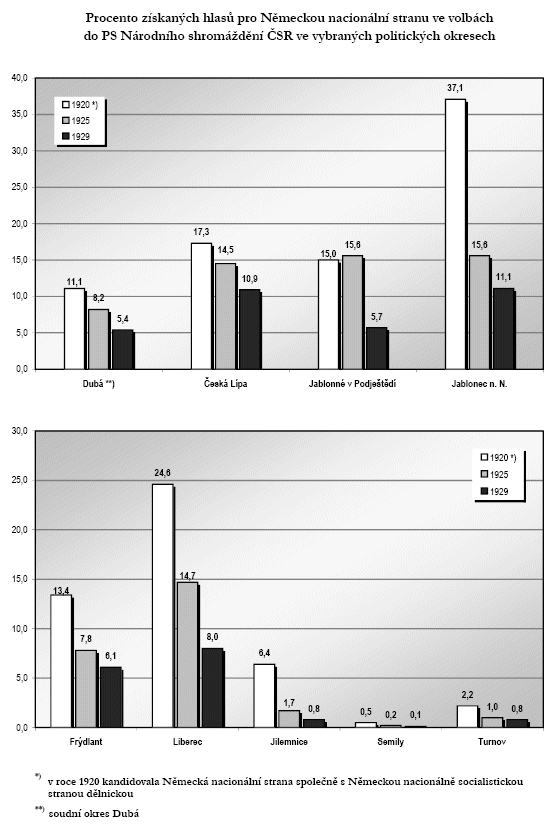
Německá nacionální strana
Německá nacionální strana
Německá nacionální strana
Počet získaných hlasů pro Německou nacionální stranu ve volbách do PS Národního shromáždění ČSR ve vybraných politických a soudních okresech
KARTOGRAMY
Procento získaných hlasů pro Německou nacionální stranu ve volbách do PS Národního shromáždění ČSR ve vybraných soudních okresech v %
v roce 1920
v roce 1935
GRAFY Procento získaných hlasů pro Německou nacionální stranu ve volbách do PS Národního shromáždění ČSR ve vybraných politických okresech v roce 1920, 1925, 1929 a 1935