Labour Market in the CR
NOTES ON TIME SERIES | Contents |
Estimates of confidence intervals
Sample surveys are usually connected with sampling and non-sampling errors. The latter are a result, for instance, of administrative drop-outs of dwellings out of the sample, intentional non-response or errors produced by filling in the questionnaire. With these errors, one cannot determine a deviation of estimate without rather wide knowledge of the basic sample. On the other hand, the sampling errors, which arise by applying characteristics of the sample to the basic sample, can be interpreted by means of confidence intervals. The confidence intervals are intervals determined around the estimate in such a way that the actual value of the estimated characteristic falls right within this interval. Constructed most frequently for estimates are the confidence intervals of 95% (by multiplying the respective quantile of the standard normal distribution and the standard deviation) - i.e. an interval, in which the actual value of the estimated characteristic can be found with 95% probability.
The theory of sample surveys distinguishes between the two most frequent type of aggregates: basic aggregates and partial aggregates. The former are some primary aggregates (employment, unemployment, ...) for a basic sample (men, women, persons at working age, men aged 20-24, ...). The latter includes some sub-aggregates in a basic aggregate. For instance, the breakdown of the CZ-NACE in the group of employed persons refers to sub-aggregates. The aggregates by age groups are not sub-aggregates - they are basic aggregates in the population aged 15-19, 20-24, etc.
The confidence intervals in Annex Tables I and II are calculated for the average size of a sample in 2006. For computing the confidence interval of aggregates for other years or quarters and partial aggregates for areas and regions it is necessary to use the following formulas and table III.
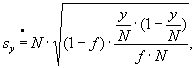
a) For the basic aggregate
95% C.I. of estimate Y =![]()

where
N is the size of the basic sample
y is the estimate of aggregate Y in the basic sample
f is the respective relative size of sample
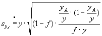
b) For the partial aggregate
where
N is replaced by the estimate of basic aggregate y and
y is replaced with the partial aggregate yA
the following formula is used:
95% C.I. of partial estimate ![]()

Making the calculations, we should bear in mind that although the aggregates are published in thousands, units should be used in the formula. Both formulas are simplified approximations of precise formulas, but the deviations between the approximations and the precise formulas are not statistically significant. However, the formula for partial aggregates may produce inaccurate results for small estimates of the basic aggregate.
Generally in the whole publication, the annual averages lower than 3000 persons and quarterly sums lower than 4500 persons are considered as data with very low reliability. In real terms it means that their relative standard error (i.e. coefficient of variation) is higher than 20%. Annual data lower than 500 persons and quarterly data lower than 750 persons are not published, as their relative standard error is higher than 50%. Instead of them there is a dot in the tables and for cases where the existence was not identified at all there is a slash in the tables.
Use of annex tables
Tab I Estimates of 95% confidence interval of the basic estimates for population aged 15+ (thousand)
Variants:
1a for quarterly estimates in total
1b for quarterly estimates for men and women
2a for annual estimates in total
2b for annual estimates for men and women
The table is designed to establish an approximate 95% confidence interval of basic estimates for the basic sample of 15+ population in the whole country and all its regions. For instance, if we want to know the confidence of the estimated number of employed men in the 4th quarter 2006 (2765.6 thousand in the Czech Republic), we shall find in the table 1b a row next to the number 2765.6 in the column of the Czech Republic. This is 25.5 thousand for the estimate size 2600 thousand. The next neighbouring value – 25.0 thousand - corresponds to the estimate 2800 thousand. Since the difference between 2765.6 and 2600 makes up roughly four-fifths of the difference between 2800 and 2600, we shall subtract four-fifths of the difference between 25.5 and 25.0 from 25.5 and get 25.1 in the end. This means the 95% confidence interval for the estimate of the number of employed men in the 4th quarter 2006 is approx.. 2765.6 +/- 25.1 thousand, i.e. there is a 95% probability that the actual number of employed men in the Czech Republic was not lower than 2740.5 thousand and not higher than 2790.7 thousand.
Tab II Estimates of 95% confidence interval of the partial estimates for population aged 15+ at the national level
Variants:
1a for annual estimates in total
1b for annual estimates for men and women
The table is designed to determine an approximate 95% confidence interval of partial estimates for the basic sample of 15+ population at the level of the Czech Republic only. For instance, if we wish to establish the confidence of an estimate of the unemployed with the basic education attained in the year 2006, who stood at 91.8 thousand out of the total of 371.3 thousand unemployed persons (24.7 % of all of the unemployed), we use the Table to find the value in a row approximately corresponding to 371.3 and in a column approximately corresponding to 24.7. We can also make the following correction by a simple linear interpolation:
20 | 24,7 | 25 | |
350 | 1,32 | 1,43 | |
371,3 | 1,286 =1,32-(371,3-350)/(400-350)* (1,32-1,24) | 1,386 =1,286+ (24,7-20)/(25-20)* (1,392-1,286) | 1,392 =1,43-(371,3-350)/(400-350)* (1,43-1,34) |
400 | 1,24 | 1,34 |
This implies that there is a 95% probability that there were not fewer than 24.7 % - 1.386 % (86.6 thous.) and more than 24.7 % + 1.386 % (96.9 thous.) of the unemployed with the basic education attained.
Table II can also be used for basic aggregates in the age groups and sex for the whole country, provided the basic aggregate is replaced with the size of the basic sample and partial aggregate with the respective estimate.
In this chapter, we intended to give the reader general instructions on how to roughly determine the error which arises from applying characteristics of the sample to the basic sample. This error depends on three variables (on four in the case of partial aggregates), namely the size of the sample and of the estimate and, to a lesser extent, on the size of the basic sample. Giving an objective overview on errors of all the estimates would require compiling a large annex of tables and it would be difficult for common readers of economic publications to find the necessary information there. This is why all of the methods used are considerably approximate but still fully sufficient for getting an idea of the accuracy of the estimates.
Sources and classifications used
Population Figures on the number and structure of the population are derived from statistics on demography (resident population and foreigners with longterm residence permit).
ISCED 97 Data on the level and groups of fields, or fields of education in compliance with international standard ISCED 97, UNESCO, November 1997.
CZ-NACE Figures concerning on industries of activity are split by the categories of the national Industrial Classification of Economic Activities (OKEC), continuously updated. The classification is compatible with the international classification NACE Rev.1.1.
CZ-ISCO-88 Occupations are classified in compliance with the national Classification of Occupations (KZAM) (Rev. 2) published by the CSO in 2001. This classification is compatible with the international classification ISCO-88.
CZ-ICSE Status in employment is classified by the group of CZ-ICSE of 1998, which correspond to individual groups of the international classification ICSE-93.
CZ-NUTS Territorial structure is defined in compliance with CZ-NUTS effective since 1 January 2000.
Characteristic of classifications
CZ-NUTS : NUTS (La Nomenclature des Unités Territoriales Statistiques) was implemented by the Statistical Office of the European Communities in co-operation with the other EU authorities to allow to classify the standard unified structure of territorial units. It has been used in EU legislation, particularly for subsidies from the EU Structural Funds, since 1988.
There are 6 NUTS levels (NUTS 0, NUTS 1, NUTS 2, NUTS 3, NUTS 4 and NUTS 5), which represent the territorial size groups. The definition of each level depends on population and area. CZ-NUTS describes the territorial structure of the Czech Republic, using units that comply with the criteria of the European Union and approved by Eurostat for statistical purposes. This publication uses the following levels: NUTS 1 for the Czech Republic, NUTS 2 for Areas and NUTS 3 for Regions.
ISCED 97 : Published data on the level and groups of fields, or fields of education are in compliance with international standard ISCED 97 (International Standard Classification of Education) issued by UNESCO in November 1997. Since 1 January 2003 the classification of field of study for 3 digits is fully implemented in LFSS, it was taken over from the Institute for information on education - Ministry of Education of the CR.
According to ISCED 97, the levels of education break down as follows:
0 preprimary education - educational programmes for preschool education. This level includes also persons without any educational attainment.
1 primary education - the 1st level of basic education, i.e. completed 5th form of the basic school.
2 lower secondary education - above all the 2nd level of basic education, completed usually by 9th form.
3 secondary education - technical and general secondary education at secondary technical, general and vocational schools, usually completed with the General Certificate of Secondary Education of final examination. Herein, there are included also graduates of lower practical school as it had character of upper secondary education in the cases of eldery who have been out of educatin long time.
4 postsecondary education - postsecondary qualifications, specialisation and innovation study not included into tertiary education.
5 first level of tertiary education - bachelor and master study programmes not leading directly to a scientific degree.
6 second level of tertiary education - tertialy educational programmes leading to a scientific degree.
A criterion of the “following education or purpose” is applied within individual levels. The quarterly publication of LFS results uses this for level 3 (e.g. school leavers of group 3A can continue to study for the bachelor or master degree, while programmes of group 3C directly channel school leavers into the labour market). Secondary education with GCE in the tables includes vocational and technical education.
CZ-NACE : With regard to the Czech Republic’s information obligations towards the European Union, UN, IMF and other international organisations, this standard is fully based on NACE, used by the EU. Currently according to up-dating changes and amendments of European Standard NACE rev. 1.1 the up-date of NACE-CZ classification was executed (3rd edition valid from 1 January 2003).
CZ-ISCO-88 : The subject of this classification is occupation, i.e. activity executed by a person (even though it is not their profession) and which is their main source of income from work. The classification is based on ISCO-88 (International Standard Classification of Occupations) adopted by the 14th International Conference of Labour Statisticians in November 1987.
CZ-ICSE : CZ-ICSE is based on the revised International Classification of Status in Employment - ICSE-93, approved by the 15th International Conference of Labour Statisticians in January 1993. ICSE-93 is obligatory only at the one-digit level, more detailed breakdown is recommended. CZ-ISCE is obligatory down to the four-digit level. Only economically active persons are included
Development of methodology of the indicators and characteristics of their changes
As the time went by, the LFSS conceded some changes, especially in the process of harmonisation with methodology of Eurostat. These changes partially created the possibility to develop complete and fully comparable time series. In adjusting primary data to comparable methodology, most of the methodological changes were registered and methodological discrepancies were removed. However, the reader should be informed about places where the methodological changes influenced the completeness and time comparability.
The more important changes appeared in these characteristics:
Population - End-of-year demographic figures interpolated for individual quarters were used for the years 1993 to 1996. An extrapolation method based on the latest end-of-year figures was applied in 1997-2000, the method taking account of migration and natural changes in the population. Analogous method was used also for preliminary data of 2001 (stated only in the electronic version). The recounted data for 2001-2002 were designed according to definitive demographic data regarding the final results of Census 2001 and were interpolated to each quarter of relevant year. Since 2003 demographic projection of quarterly middle states for Labour Force Sample Survey on the base of final data at 31. 12. of relevant year regarding the changes in administrative division and the prediction of both development of natural movement and migration balance in particular quarters of 2003-2006 was used.
Education – From 1993 to 1998 the national scale of stages was used. Since 1998 a wider scale of the highest educational attainment according to ISCED 97 has been used in the survey. Since 2002 the special type of the tertiary education on the level ISCED 5b has been classified as tertiary, while in last years it belonged to vocational high secondary education with GCE.
CZ-NACE - Published data on industrial assignment are fully comparable, starting in the 2nd quarter of 1994. The older data, which were based on the classification of industrial activities in force at that time were re-coded to the new classification. In sporadic cases, non-convertible groups are placed under “Not identified”. Given the specifics of the Czech economy, CZ-NACE division A01 (Agriculture...) is shown separately and CZ-NACE Division A02 (Forestry, ...) is shown together with CZ-NACE Section B (Fishing, ...). Affiliation to industries is monitored by the workplace method and that is why the results differ from the reporting based on enterprise (the detailed specification of the concept “workplace” is given in regular quarterly publication of the CZSO on trend of employment and unemployment as measured by LFSS).
CZ-ISCO-88 - Like with the CZ-NACE older figures derived from the classification of occupations in force by the end of August 1995 were re-coded according to the new classification. In sporadic cases, non-convertible groups are placed under “Not identified”.
Reasons for economic inactivity - All persons who receive pensions are grouped to one category, disregarding the type of the pension received.
Job seeking ways - Up to and including November 1994, only one way of seeking job was reported for persons in unemployment (or of seeking another /second/ job by employed persons). Since December 1994, two ways can be reported for both cases. Since 2002 it it possible for respondents to state all used seeking method.
List of tables
The tables are placed in four basic groupings, each grouping dealing with a certain group of the population. The last one shows relative labour market indicators. All of the data are converted to comply with comparable methodology (see above).
When preparing the publication we were trying to offer the reader a wide view of labour market trends in the Czech Republic from the perspective of the new administrative arrangement at the level of NUTS 2 and NUTS 3. With regard to the range of this basic division the annual averages were preferred to the more detailed quarterly data. The quarterly data was chosen only in key features. For this reason some specific views on the labour market published in regular quarterly releases are ignored here. However, the missing information is available in the Czech Statistical Office. This publication thus offers two types of tables labelled:
A annual averages derived from calendar quarter data. The tables which are specifically for NUTS2 (areas) and NUTS3 (regions) have an extra sign (R).
Q quarterly data.
All of the tables are broken down by sex.
Grouping I. Population of the Czech Republic
Grouping I of the tables includes the entire population of the Czech Republic
101 A (R) Population by age and highest educational attainment
Annual averages of demographic data of the Czech Republic employed for processing the LFSS; no standard balanced demography is involved. It contains data for five-year age groups and the level of the highest educational attainment. The table is processed for the Czech Republic, areas and regions.
102 A (R) Activity status of population by age
Annual averages of population of the Czech Republic aged 15 or more by activity status and gross age groups. The table is processed for the Czech Republic, areas and regions.
103 A Labour force by areas and regions
Annual averages of labour force in the Czech Republic by NUTS2 and NUTS3.
104 Q Labour force by areas and regions
Quarterly data of labour force in the Czech Republic by NUTS2 and NUTS3.
105 A (R) Reasons for economic inactivity and status of inactive persons
Annual averages of persons who are economic inactive aged 15 or more by reasons for economic inactivity and specific groups of employed. The table is processed for the Czech Republic, areas and regions.
Grouping II. Employed persons in national economy
Grouping II of the tables includes all persons classified in compliance with ILO methodology to persons employed in the national economy, i.e. including temporary (till the year 2004) and regular members of the armed forces.
201 A Employed persons by areas and regions
Annual averages of persons aged 15 or more employed in national economy by NUTS2 and NUTS3.
202 Q Employed persons by areas and regions
Quarterly data of persons aged 15 or more employed in national economy by NUTS2 and NUTS3.
203 A (R) Employed persons by age and highest educational attainment
Annual averages of persons employed in national economy of the Czech Republic by five-year age groups and the level of the highest educational attainment. The table is processed for the Czech Republic, areas and regions.
204 A (R) Employed persons by industry
Annual averages of persons employed in national economy of the Czech Republic by CZ-NACE activity. The table is processed for the Czech Republic, areas and regions.
205 A (R) Employed persons by occupation and professional status
Annual averages of persons employed in national economy of the Czech Republic by CZ-ISCO-88 occupation and professional status. The table is processed for the Czech Republic, areas and regions.
206 A Second job by areas and regions
Annual averages of second job holders employed in national economy by NUTS2 and NUTS3.
207 Q Second job by areas and regions
Quarterly data of second job holders employed in national economy by NUTS2 and NUTS3.
208 A Second job by professional status and industry
Annual averages of second job holders employed in national economy by professional status and CZ-NACE activity.
Grouping III. Unemployed persons
Tables of Grouping III include unemployed persons classified according to international definitions and recommendations of the ILO - i.e. persons who were without work in the reference, were actively seeking job in the reference week and were currently available for work within 14 days. Included under the unemployed are also persons who have found a job and will report for it for 14 days at the latest.
301 A Unemployed persons by areas and regions
Annual averages of unemployed persons according to ILO by NUTS2 and NUTS3.
302 Q Unemployed persons by areas and regions
Quarterly data of unemployed persons according to ILO by NUTS2 and NUTS3.
303 A (R) Unemployed persons by age and highest educational attainment
Annual averages of unemployed persons according to ILO by five-year age groups and the level of the highest educational attainment. The table is processed for the Czech Republic, areas and regions.
304 A (R) Duration and ways of seeking a job
Annual averages of unemployed persons according to ILO (without persons who have already found a job, but their commencement of work was fixed for 14 days at the latest) by duration of seeking a job and the most frequently ways of seeking a job. The table is processed for the Czech Republic, areas and regions.
Grouping IV. Rates
General unemployment rate by ILO methodology and participation rate constitute primary relative indicators for placing assessment on the labour market. Methodology of their calculations is mentioned above.
401 A Unemployment rate by areas and regions
Annual averages of general unemployment rate by NUTS2 and NUTS3.
402 Q Unemployment rate by areas and regions
Quarterly data of general unemployment rate by NUTS2 and NUTS3.
403 A (R) Unemployment rate by age and highest educational attainment
Annual averages of general unemployment rate by five-years age groups and the level of the highest educational attainment. The table is processed for the Czech Republic, areas and regions.
404 A Participation rate by areas and regions
Annual averages of participation rate by NUTS2 and NUTS3.
405 Q Participation rate by areas and regions
Quarterly data of participation rate by NUTS2 and NUTS3.
406 A (R) Unemployment rate by age and highest educational attainment
Annual averages of participation rate by five-years age groups and the level of the highest educational attainment. The table is processed for the Czech Republic, areas and regions.
Technical notes
Absolute values are in thousands. Differences between the total and individual items used to provide the total are due to rounding-off (it was the total that was rounded off and not the individual items). Absolute and relative data in all textual and annex tables are derived from non-rounded-off figures. If the sum of divided characteristics is different from the total, the difference is caused by the reasons stated above or the scale of items is not complete (somewhere ‘Not identified’ is not stated).
The following standard statistical symbols are used in the tables to show cases of marginal values:
- is used to indicate that the phenomenon did not occur in the sample
. is used to show that figure is not available or cannot be relied on
"Not identified" in the tables comprises refused answers, answers "do not know" and any other case of an unidentified answer of the respondent. Where more answers to the question asked are possible, the data are classified, in principle, according to the main variant of the answer.
It should be borne in mind in using the tables that sample methods were employed to acquire the information and, therefore, the accuracy decreases as the sample diminishes. The issue of confidence of estimates is dealt with in the respective chapter and the annex to the table part of this publication.
Availability of the publication
This publication is put out in the following forms:
| a) | Print : | |
| Czech version | publication code: 3103-07 | |
| b) | Electronic form : | Excel (*.xls), Adobe Acrobat (*.pdf), |
| Czech version: | 310307.zip | |
| c) | Internet : | Excel (*.xls), Adobe Acrobat (*.pdf), |
| Czech and English versions: | https://csu.gov.cz |